HL Paper 1
What is the hybridization of the carbon atom, and the number of \(\sigma \) and \(\pi \) bonds in the methanal molecule?


Markscheme
A
Examiners report
Which species has bond angles of 90°?
A. AlCl4-
B. \({\text{I}}\)Cl4-
C. NH4+
D. SiCl4
Markscheme
B
Examiners report
Which molecule has an expanded octet?
A. CO
B. CO2
C. SF2
D. SF4
Markscheme
D
Examiners report
Which species contain delocalized electrons?

A. I and II only
B. I and III only
C. II and III only
D. I, II and III
Markscheme
B
Examiners report
Which statement is correct?
A. Sigma bonds are formed only by the combination of s atomic orbitals.
B. Pi bonds can be formed in the absence of sigma bonds.
C. Pi bonds are formed parallel to the axis between atoms.
D. Pi bonds are formed only by the combination of hybrid orbitals.
Markscheme
C
Examiners report
Which of the following best describes the formation of \(\pi \) bonds?
A. They are formed by the sideways overlap of parallel orbitals.
B. They are formed by the axial overlap of orbitals.
C. They are formed by the sideways overlap of an s and p orbital.
D. They are formed by the axial overlap of either s or p orbitals.
Markscheme
A
Examiners report
Two respondents suggested that the terms axial and sideways overlap are confusing. However, these terms are also clearly mentioned in the teachers note corresponding to as 14.2.1 and have also been used previously on examination papers.
Which molecules have at least one sp2 hybridized atom?
I. CH3COOH
II. CH3COCH3
III. CH2CHCH2OH
A. I and II only
B. I and III only
C. II and III only
D. I, II and III
Markscheme
D
Examiners report
Which species have delocalized \(\pi \) electrons?
I. \({\text{C}}{{\text{H}}_{\text{3}}}{\text{COC}}{{\text{H}}_{\text{3}}}\)
II. \({\text{NO}}_{\text{2}}^ - \)
III. \({\text{CO}}_{\text{3}}^{2 - }\)
A. I and II only
B. I and III only
C. II and III only
D. I, II and III
Markscheme
C
Examiners report
Although 70% of the candidates gave the expected answer, C, there is minimal delocalization in ethanoic acid, so both C and D were accepted (giving an 86% success rate on the question).
How many \(\sigma \) and \(\pi \) bonds are present in a molecule of propyne, \({\text{C}}{{\text{H}}_{\text{3}}}{\text{CCH}}\)?

Markscheme
B
Examiners report
In this question candidates were asked to state the number of sigma and pi bonds in propyne. One respondent stated that as alkynes are not on the syllabus why the name was necessary. However, this question involved candidates drawing out the full structural formula using valency rules and hence counting the number of sigma and pi bonds. Knowledge of the alkyne functional group was not necessary but candidates did have to realise that a carbon to carbon triple bond was present. Often in questions the style of IB papers is to also include both the name and the associated structural formula.
How many sigma \((\sigma )\) and pi \((\pi )\) bonds are there in \({\text{C}}{{\text{H}}_{\text{3}}}{\text{C}}{{\text{H}}_{\text{2}}}{\text{CCC}}{{\text{H}}_{\text{2}}}{\text{COOH}}\)?
A. 13\(\sigma \) and 5\(\pi \)
B. 15\(\sigma \) and 2\(\pi \)
C. 15\(\sigma \) and 3\(\pi \)
D. 15\(\sigma \) only
Markscheme
C
Examiners report
This was thought to be a hard example “to test student understanding of hybridization and bond types”. This type of question is not new and was answered correctly by 79% of the candidates. All a candidate needs to do is to count the number of \(\pi \)-bonds.
How many bonding pairs and lone pairs of electrons surround the sulfur atom in the \({\text{S}}{{\text{F}}_{\text{4}}}\) molecule?

Markscheme
A
Examiners report
One respondent stated that the structure of \({\text{S}}{{\text{F}}_{\text{4}}}\) is not specified in the teachers note corresponding to AS 14.1.1. This is a comment that has been made at length in previous subject reports. The AS states that candidates should be able to determine the shape and bond angles of species with five or six negative charge centres using VSEPR Theory. In the teaching programme, examples such as \({\text{PC}}{{\text{l}}_{\text{5}}}\), \({\text{S}}{{\text{F}}_{\text{6}}}\), \({\text{Xe}}{{\text{F}}_{\text{4}}}\) and \({\text{PF}}_6^ - \) should be definitely included. However, any species with five or six negative charge centres could be asked in a question and hence examples are not restricted to these latter four examples.
The Lewis structure of \({\text{S}}{{\text{O}}_{\text{2}}}\) is given below.

What is the shape of the \({\text{S}}{{\text{O}}_{\text{2}}}\) molecule?
A. Bent (V-shaped)
B. Linear
C. T-shaped
D. Triangular planar
Markscheme
A
Examiners report
There were two G2 comments on this question. One respondent stated that D. should be trigonal planar instead of triangular planar. Both terms are widely used in fact, though of course the correct answer is A. bent or V-shaped. Another respondent stated that it would have been better to represent the Lewis structure of \({\text{S}}{{\text{O}}_{\text{2}}}\) with valence expansion. It is true that \({\text{S}}{{\text{O}}_{\text{2}}}\) could be represented as an alternate Lewis structure. However, the question did not state what the best Lewis structure representation of \({\text{S}}{{\text{O}}_{\text{2}}}\) was and hence was not basing the representation at any distinction centred on formal charge differences versus expanded octets. Candidates simply had to look at the three negative charge centres present which equates to a triangular planar electron-domain geometry and hence a bent molecular geometry as the final shape giving A as the correct answer.
Which species have resonance structures?
I. Ozone, O3
II. Carbon dioxide, CO2
III. Benzene, C6H6
A. I and II only
B. I and III only
C. II and III only
D. I, II and III
Markscheme
B
Examiners report
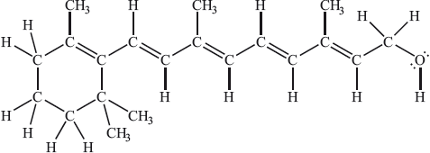
Retinol (vitamin A) contains a total of 5 double bonds and 46 single bonds.

Which statements are correct?
I. There are 51 \(\sigma \) and 5 \(\pi \) bonds.
II. The oxygen atom is \({\text{s}}{{\text{p}}^{\text{3}}}\) hybridized.
III. Retinol is a primary alcohol.
A. I and II only
B. I and III only
C. II and III only
D. I, II and III
Markscheme
D
Examiners report
Which statements about hybridization are correct?
I. The hybridization of carbon in diamond is \({\text{s}}{{\text{p}}^{\text{3}}}\).
II. The hybridization of carbon in graphite is \({\text{s}}{{\text{p}}^{\text{2}}}\).
III. The hybridization of carbon in \({{\text{C}}_{{\text{60}}}}\) fullerene is \({\text{s}}{{\text{p}}^{\text{3}}}\).
A. I and II only
B. I and III only
C. II and III only
D. I, II and III
Markscheme
A
Examiners report
In which compound are all the carbon atoms \({\text{s}}{{\text{p}}^{\text{2}}}\)hybridized?
A. 
B. 
C. \({\text{C}}{{\text{H}}_{\text{2}}}{\text{CHC}}{{\text{H}}_{\text{3}}}\)
D. \({\text{C}}{{\text{H}}_{\text{3}}}{\text{C}}{{\text{H}}_{\text{2}}}{\text{CHCHC}}{{\text{H}}_{\text{2}}}{\text{C}}{{\text{H}}_{\text{3}}}\)
Markscheme
A
Examiners report
One respondent claimed that this question was too difficult. However, Topic 14.2 on hybridization is firmly on the syllabus and candidates should be expected to be able to answer this type of question. The question itself was correctly answered by 79.08% of candidates, and was the thirteenth easiest question on the paper.
Which species does not have delocalized electrons?
A. \({\text{NO}}_3^ - \)
B. \({\text{NO}}_2^ - \)
C. \({{\text{O}}_{\text{3}}}\)
D. \({{\text{C}}_{\text{3}}}{{\text{H}}_{\text{6}}}\)
Markscheme
D
Examiners report
One respondent mentioned the fact that there is some debate in the literature in relation to possible sigma delocalization in cyclopropane which is a valid comment and although 63.98% of candidates chose D. \({{\text{C}}_{\text{3}}}{{\text{H}}_{\text{6}}}\) as the correct answer, it is fair to state that a different example might have been selected where there is no evidence of delocalization.
What is the hybridization of the numbered atoms in ethanoic acid?
Markscheme
D
Examiners report
Which does not show resonance?
A. PO43–
B. C6H6
C. C6H12
D. O3
Markscheme
C
Examiners report
In which group do both compounds contain delocalized electrons?
B. Na2CO3, NaOH
C. NaHCO3, C6H6
D. NaHCO3, C6H12
Markscheme
C
Examiners report
Which combination best describes the type of bonding present and the melting point of silicon and silicon dioxide?

Markscheme
D
Examiners report
What are the hybridizations of the atoms labelled 1, 2 and 3 in the molecule below?


Markscheme
B
Examiners report
Which allotropes of carbon show \(s{p^2}\) hybridization?
I. Diamond
II. Graphite
III. \({C_{60}}\) fullerene
A. I and II only
B. I and III only
C. II and III only
D. I, II and III
Markscheme
C
Examiners report
Which combination describes the bonding and structure in benzoic acid, C6H5COOH?
Markscheme
B
Examiners report
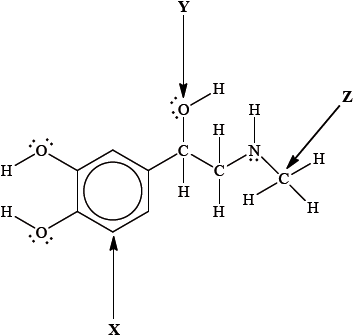
What is the hybridization of atoms X, Y and Z in epinephrine?


Markscheme
A
Examiners report
This was thought to be tricky for those who had not studied Option G for paper 3 as they might have less idea about hybridization in a benzene ring. This should be covered in topics 14.2.2 and 14.3.1. It was one of the harder questions but, even so, 68.20% gave the correct answer. “B” was the next most common answer, presumably because candidates had forgotten the hydrogen atom on carbon X.
Which species have delocalized electrons?

A. I and II only
B. I and III only
C. II and III only
D. I, II and III
Markscheme
A
Examiners report
Which structure has delocalized \(\pi \) electrons?
A. \({{\text{O}}_{\text{3}}}\)
B. CO
C. HCN
D. \({\text{C}}{{\text{O}}_{\text{2}}}\)
Markscheme
A
Examiners report
What is correct for \({\text{PC}}{{\text{l}}_{\text{5}}}\)?

Markscheme
D
Examiners report
Which combination of shape and bond angle is correct for a molecule of xenon tetrafluoride, \({\text{Xe}}{{\text{F}}_{\text{4}}}\)?

Markscheme
B
Examiners report
Whilst 70% gave the correct answer, a significant number (17%) missed the axial lone pairs and thought the molecule to be tetrahedral.
Which overlap of atomic orbitals leads to the formation of only a sigma (σ) bond?
I. s − p
II. p − p
III. s − s
A. I and II only
B. I and III only
C. II and III only
D. I, II and III
Markscheme
B
Examiners report
How many sigma and pi bonds are there in propyne, \({\text{C}}{{\text{H}}_{\text{3}}}{\text{CCH}}\)?
A. 2 sigma and 2 pi
B. 7 sigma and 1 pi
C. 6 sigma and 2 pi
D. 5 sigma and 3 pi
Markscheme
C
Examiners report
Which can be represented with only one Lewis structure?
A. CH2O
B. C6H6
C. O3
D. NO3−
Markscheme
A
Examiners report
Which molecules have \({\text{s}}{{\text{p}}^{\text{2}}}\) hybridization?
I. \({{\text{C}}_{\text{2}}}{{\text{H}}_{\text{4}}}\)
II. \({{\text{C}}_{\text{4}}}{{\text{H}}_{{\text{10}}}}\)
III. \({{\text{C}}_{\text{6}}}{{\text{H}}_{\text{6}}}\)
A. I and II only
B. I and III only
C. II and III only
D. I, II and III
Markscheme
B
Examiners report
Markscheme
A
Examiners report
Which species does not contain delocalized electrons?
A. \({\text{C}}{{\text{H}}_{\text{3}}}{\text{C}}{{\text{H}}_{\text{2}}}{{\text{O}}^ - }\)
B. \({\text{C}}{{\text{H}}_{\text{3}}}{\text{CO}}_2^ - \)
C. \({{\text{O}}_{\text{3}}}\)
D. \({\text{NO}}_3^ - \)
Markscheme
A
Examiners report
How many sigma (\(\sigma \)) and pi (\(\pi \)) bonds are there in the following molecule?

Markscheme
C
Examiners report
B. BF4−
C. SCl4
D. NH4+
Markscheme
C
Examiners report
Identify the hybridization of carbon atoms in this molecule


Markscheme
A
Examiners report
What is the type of hybridization of the silicon and oxygen atoms in silicon dioxide?

Markscheme
A
Examiners report
This question on hybridization was particularly badly answered (Difficulty Index 29%), though it was not clear as to whether this arose from a lack of comprehension of the concept itself or the structure of silicon dioxide.
Which combination correctly describes the types of hybridization shown by the two carbon atoms labelled \(\alpha \) and \(\beta \) and the oxygen atom labelled \(\gamma \) in the molecule of paracetamol shown below?


Markscheme
A
Examiners report
Although delocalization in amide is not covered in the syllabus, answer C was also accepted here as there is significant double bond character in the nitrogen to carbon (of the carboxamide group) bond. The question will be amended before publication.
Which molecule is trigonal bipyramidal in shape?
A. \({\text{PC}}{{\text{l}}_{\text{3}}}\)
B. \({\text{SiC}}{{\text{l}}_{\text{4}}}\)
C. \({\text{PC}}{{\text{l}}_{\text{5}}}\)
D. \({\text{S}}{{\text{F}}_{\text{6}}}\)
Markscheme
C
Examiners report
The diagrams below show \(s\) and \(p\) orbitals in different positions. Which combinations can form a \(\sigma \)-bond?

A. I and II only
B. I and III only
C. II and III only
D. I, II and III
Markscheme
C
Examiners report
What is the correct number of sigma \({\text{(}}\sigma {\text{)}}\) and pi \({\text{(}}\pi {\text{)}}\) bonds in prop-2-enenitrile, \({\text{C}}{{\text{H}}_{\text{2}}}{\text{CHCN}}\)?

Markscheme
C
Examiners report
How many sigma (σ) and pi (π) bonds are present in this molecule?
Markscheme
C
Examiners report
What is the hybridization state and electron domain geometry around the circled C, N and O atoms?
Markscheme
A
Examiners report
Which combination describes the PH4+ ion?
Markscheme
A